-
미성년자 자녀에게 증여를 고려하고 계신가요? 자녀의 미래를 위해 자산을 증여하는 것은 매우 중요한 결정입니다. 특히, 세금 문제를 잘 이해하고 적절한 방법으로 진행한다면, 자녀에게 더 많은 혜택을 줄 수 있습니다. 이번 포스팅에서는 미성년자 자녀에게 증여할 때의 절세 방법과 적립식 펀드의 장점에 대해 알아보겠습니다.
적립식 투자 추천 
미성년자 자녀 증여 필요성
미성년자 자녀에게 자산을 증여하는 것은 그들의 미래를 위한 투자라고 할 수 있습니다. 자녀가 성장하면서 필요한 자금을 미리 준비해 주는 것이죠. 특히, 자녀가 성인이 되었을 때 경제적으로 자립할 수 있도록 도와주는 중요한 역할을 합니다.



미성년자 자녀 증여 세법의 이해
대한민국의 세법에 따르면 미성년자 자녀에게 증여할 경우, 일정 금액까지는 비과세 혜택이 주어집니다. 예를 들어, 미성년자 자녀에게는 10년 동안 최대 2000만원까지 비과세로 증여할 수 있습니다. 이러한 세법을 이해하는 것이 절세 전략의 첫걸음입니다.

출처: 한화생명 홈페이지 1. 증여세를 아끼는 방법
증여세를 아끼는 방법 중에서 가장 중요한 것은 10년이라는 시간입니다. 10년마다 세금 없이 증여할 수 있는 한도가 리셋되기 때문에 일찍 증여할수록 다음 주기도 빨리 돌아오게 됩니다.
자녀에게 증여할 때는 10년 단위로 5000만원(미성년자 2000만원)씩 증여세가 공제됩니다. 0세에 2000만원, 10세에 2000만원씩 총 4000만원을 세금 없이 증여할 수 있는 거죠. 성인이 된 뒤에는 10년마다 5000만원(결혼 시 1억원 추가)까지 가능하므로, 20세와 30세 각각에 5000만원씩 증여하면 미혼 자녀에게 총 1억4000만원을 증여세 없이 물려줄 수 있습니다.



증여 방법 및 세금
미성년자 자녀에게 증여하는 방법은 여러 가지가 있습니다. 일반적으로는 부모가 자녀에게 직접 재산을 이전하는 방식이 있습니다. 이 경우, 부모의 소득세와 자녀의 증여세가 발생할 수 있습니다. 이 외에도, 적립식 펀드를 통해 자녀에게 증여하는 방법도 있습니다. 이 방법은 세금 측면에서 유리할 수 있습니다.

적립식 펀드 증여
적립식 펀드는 정기적으로 일정 금액을 투자하여 자산을 늘려가는 방식입니다. 이 방법의 가장 큰 장점은 장기적인 투자 효과를 누릴 수 있다는 점입니다. 또한, 자녀가 성인이 되었을 때 큰 금액을 수령할 수 있어 경제적 자립에 큰 도움이 됩니다.
적립식 펀드를 통해 증여할 경우, 증여세 신고를 통해 세금을 절감할 수 있는 방법도 있습니다. 월 20만 원씩 적립하면, 10년 후에는 상당한 금액이 모일 수 있습니다.
적립식 ETF 추천 


적립식 펀드로 증여 비과세
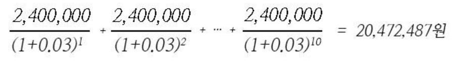
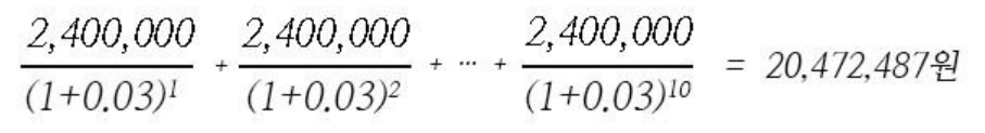
자녀에게 월 20만원씩 (연간 240만원) 10년간 적립식 펀드를 가입해주려고 하는데 증여세는 어떻게 될까요?
매년 240만 원씩 10년 동안 받을 금액을 기획재정부령으로 정하는 이자율(3%)로 할인한 가액이 증여재산이 되며, 아래와 같이 계산을 해보면 2,048만원으로 평가됩니다.

1. 증여세 계산
증여가액 2,048만 원에서 증여재산 공제액 2천만원(미성년자)을 차감하면 과세표준은 48만 원입니다. 과세표준 50만 원 미만은 세금을 부과하지 않게됩니다. 이로써 월 20만원씩 적립식 펀드에 가입 한 후 증여해주면 세금이 부과되지 않고 증여를 할 수 있습니다.
증여 시 유의사항
증여를 진행할 때는 몇 가지 유의사항이 있습니다.
첫째, 증여세 신고는 반드시 해야 하며, 신고 기한을 놓치지 않도록 주의해야 합니다. 둘째, 자녀의 나이에 따라 면제 한도가 다르므로, 자녀의 나이에 맞춰 증여 계획을 세워야 합니다. 또한, 증여를 통해 자녀에게 현금을 주고자 한다면, 관련된 세금 문제를 충분히 이해하고 진행해야 합니다.



마무리 및 정리
미성년자 자녀에게 재산을 증여하는 것은 장기적인 투자로서 매우 중요한 결정입니다. 적립식 펀드를 활용한 절세 전략을 잘 활용하면 자녀의 미래를 보다 안정적으로 지켜줄 수 있습니다. 따라서, 충분한 정보를 바탕으로 신중하게 계획을 세우는 것이 필요합니다.
운용회사 별 퇴직연금 (DC형)수수료 비교 및 추천
퇴직연금을 DB형에서 DC형으로 전환을 고민하시는 분들이 많으실텐데요. 퇴직연금 DC형은 적립금의 운용주체는 근로자에게 있기 때문에 운용에 따른 수수료가 발생할 수가 있는데 퇴직연금의 수
first.liberti30.com
다자녀가구 자동차 취득세 감면 혜택 (자녀 2명 자동차 취득세 할인 방법)
다자녀가구 자동차 취득세 감면 혜택 (자녀 2명 자동차 취득세 할인 방법)
다자녀 가구를 위한 자동차 취득세 감면 혜택에 대해 알아보겠습니다. 최근 정부는 저출산 문제를 해결하기 위해 다자녀 가구에 대한 지원을 강화하고 있습니다. 특히, 자동차 취득세 감면 혜택
first.liberti30.com
2025년 K패스카드 다자녀가구 유형 신설 및 혜택 (K패스카드 신청 및 등록)
2025년 K패스카드 다자녀가구 유형 신설 및 혜택 (K패스카드 신청 및 등록)
K패스카드는 대중교통을 이용하는 가구에게 제공되는 특별한 카드로, 2025년부터는 다자녀 가구를 위한 새로운 유형이 신설되어, 더 많은 가구가 혜택을 누릴 수 있게 됩니다. 이번 포스팅에서는
first.liberti30.com